湖南商务职业技术学院 突发公共事件应急预案
来源:未知 时间:2016-01-25
一、总则
(一)目的
为有效预防、及时控制和妥善处理学院各类突发公共事件,提高快速反应处理能力,建立健全应对突发事件的救助体系和运行机制,规范和指导应急处理工作,有效预防、积极应对、及时控制校园突发公共事件,保障全院师生员工身体健康与生命安全,维护正常的教学、工作、生活秩序,维护学院的安全稳定,特制定本预案。
(二) 编制依据
根据《中华人民共和国教育法》、《高等教育法》、《刑法》、《集会游行示威法》、《国家突发公共事件总体应急预案》、教育部《教育系统突发公共事件应急预案》、《突发公共卫生事件应急条例》,制定湖南商务职业技术学院突发公共事件应急预案。
(三) 适用范围
本预案适用于院内各单位、各部门突发公共事件应急处置工作。所指突发公共事件主要包括:
1、校园安全类突发事件
学院内外涉及师生员工参与的各种非法集会、游行、示威、静座、请愿以及集体罢餐、罢课、上访、聚众闹事、群殴等群体性事件;各种非法传教、串联等政治性活动;针对师生员工的各类恐怖袭击事件;师生员工非正常死亡、失踪等影响学院和社会稳定的事件。
2、事故灾难类突发事件
学院楼、堂、馆、舍等发生火灾,建筑物倒塌,拥挤踩踏等事故;校内交通事故;集体活动事故;造成重大损失和有影响的后勤保障事故;重大环境污染事故;影响学院安全稳定的其它突发灾难事故等。
3、公共卫生类突发事件
造成(可能造成)损害师生员工健康安全的事件,包括院内公共卫生事件,如突然发生、造成或者可能造成师生员工健康严重损害的重大传染病疫情、群体性不明原因疾病、集体性食物中毒事件等;当地发生的可能影响学校的公共卫生事件。
4、自然灾害类突发事件
气象、地质、地震等灾害以及由此诱发的校园内各种次生及衍生性灾害。
5、网络与信息安全类突发事件
利用校园网络发送有害信息,进行反动、色情、“法轮功”邪教、迷信、非法宗教渗透等宣传活动;窃取国家及学校保密信息,可能造成严重后果的事件;各种破坏校园网络安全运行的事件等。
6、考试安全类突发事件
在院内开展的全部社会及教育系统统一组织的国家教育考试命题、制卷、运送、保管等环节出现的泄密事件;在考试、评卷过程中发生的违规事件等。
7、其他影响学院安全与稳定的突发公共事件。
(四)工作原则
1、统一指挥,快速反应。学院成立突发公共事件应急处置工作领导小组(以下简称“领导小组”)。学院党政一把手为第一责任人,全面负责学校突发公共事件的处置工作,同时制定应急预案,完善保障措施,建立快速反应机制。一旦发生突发公共事件,根据事件类型、级别等因素迅速启动相应预案,做到快速反应,正确应对,果断处置,减少各种损失。学院内各单位、各部门主要负责人是本单位、本部门第一责任人,必须完善本单位(部门)内部的分工协作,做到群防群控,力争把问题控制在萌芽状态。
2、系统联动,加强保障。突发公共事件发生后,各相关部门负责人要立即深入第一线,掌握情况,控制局面,同时积极取得当地党委、政府的支持和配合,加强各项保障措施和力量部署,从制度、组织、物资等方面做好充分准备,确保预案一旦启动即能有效实施,提高工作效率。
3、预防为本,及时控制。要认真贯彻“高度重视,积极疏导,防止失控,维护稳定”的工作方针,立足防范,强化应急预案对日常预防工作的指导作用;加强信息收集、研析,从细节抓起,做到早发现,早研究,早解决;增强应急预案的针对性和操作性,提高应急反应能力。
4、区分性质,处置得当。处置突发公共事件(特别是校园安全类事件)要根据事件类型、级别等因素采取相应对策,积极化解矛盾,做好善后工作,维护学校正常秩序。对师生的诉求要晓之以理、动之以情,按“可散不可聚,可顺不可激,可分不可结”的原则进行疏导;对煸动闹事的人员要依法处理,确保校园稳定。
(五)突发公共事件等级划分
校园突发公共事件按其类型、规模、紧迫程度、可能的发展趋势等,由高到低分为:特别重大事件(Ⅰ级)、重大事件(Ⅱ级)、较大事件(Ⅲ级)、一般事件(Ⅳ级)。各类突发公共事件等级的具体划分,由学院突发公共事件应急工作领导小组掌握。
二、应急处理指挥机构及职责
(一)学院突发公共事件应急处置工作领导小组
组 长:党委书记、院长
副组长:党委副书记、副院长
成 员:党委办公室、院长办公室、组织部、学生工作处、宣传部、人事处、、保卫处、教务处、科研处、财会处、后勤处、西城高校后勤服务公司、纪检监察处、校工会、实训中心、教学五大系主要负责人。
领导小组的主要职责:
1、 负责统一决策、组织、指挥学院突发公共事件的防范和处理;
2、 定期研究分析学院防范和处理突发事件工作;
3、 协调、解决防范和处理突发公共事件工作中的困难和问题;
4、 协调防范和处理突发公共事件与校园正常教学、生活相关工作的关系,确保各项工作有序开展;
5、 对学院各部门和个人在防范和处理突发公共事件工作中的表现作出奖惩;
6、 向省、市相关职能部门汇报工作,并及时取得工作支持。
(二)领导小组下设办公室及主要职责
领导小组办公室地点设在院办公室,院办主任兼任领导小组办公室主任,日常工作由院办承担。
领导小组办公室及主要职责:
1、 负责及时调查收集、分析防范和处理突发公共事件中相应的数据和工作情况;
2、 拟定防范和处理突发公共事件阶段性工作计划;
3、 拟定防范和处理突发事件的综合性文件、汇报材料、领导讲话和工作总结;
4、 提出相关政策建议以及协调防范和处理突发事件工作与日常教学、行政工作的建议;
5、 协调各部门防范和处理突发性事件工作;
6、 印发领导小组工作人员的组成和通讯方式,如有变动,及时调整;
7、 根据领导小组授权,及时向省、市相关职能部门报送突发事件有关信息,征求处理意见和相关支持;
8、 做好领导小组交办的其他工作。
(三)应急处置工作级别的组成及主要职责
领导小组下设6个相应应急处置工作组,具体如下:
1、 校园安全类突发事件应急处置工作组
组长由分管学生工作、安全保卫工作的副院长担任,副组长由院办主任、学工处处长、保卫处处长担任。
工作组办公室:属学生工作的事项设在学生工作处,日常工作由学生工作处承担;属安全稳定类的工作设在保卫处,日常工作由保卫处承担。
成员:院办、学生工作处、宣传部、保卫处、教务处、后勤处、西城高校后勤服务公司主要负责人。
主要职责:组织、指挥突发事件现场应急处置工作;根据事件性质和等级安排任务;决定成立工作组(调查组)到现场,做好事件调查、事后处理;做好师生思想工作,恢复教学、生活秩序;决定信息报送(公布)的内容方式及请求上级(有关部门)援助的事项;督促对事件有关人员的责任追究。
2、事故灾难类突发事件应急处置工作组
组长由分管安全稳定的党委副书记担任,副组长由院办主任、保卫处处长、后勤处处长担任,日常工作由保卫处承担。
成员:院办、学生工作处、宣传部、保卫处、后勤处、西城高校后勤服务公司、纪检监察处主要负责人。
主要职责:组织、指挥突发事件应急处置、救援、现场保护工作;根据事件性质和等级安排任务;决定成立工作组(调查组)到现场,召开事故现场会,做好事件调查、事后处理;做好师生思想工作,恢复教学、生活秩序;决定信息报送(公布)的内容方式及请求上级(有关部门)援助的事项;督促对事件有关人员的责任追究;总结事故教训,提出预防措施,及时进行整改。
3、校园公共卫生类突发事件应急处置工作小组
组长由分管后勤工作的副院长担任,副组长由后勤处处长、西城高校后勤服务公司主要负责人担任。工作组办公室设在后勤处处长办公室,日常工作由后勤处承担。
成员:院办、保卫处、学生工作处、宣传部、后勤处、西城高校后勤服务公司、纪检监察处、校工会主要负责人和事发单位(部门)主要负责人。
主要职责:
(1)在当地卫生部门指导下,负责全校突发公共卫生事件的紧急处置工作,及时收集当地突发公共卫生事件的相关信息,并及时向学院通报情况,提出紧急应对突发公共卫生事件的政策、措施;
(四) 指导和组织学校紧急应对和处置突发公共卫生事件;
(五) 督促各单位(部门)认真落实突发公共卫生事件紧急应对措施;
(六) 及时总结和推广各单位(部门)应对公共卫生事件和经验和做法。
4、自然灾害类突发事件应急处置工作组
组长由分管后勤工作的副院长担任,副组长由院办主任、后勤处处长、保卫处处长担任,日常工作由后勤处承担。
成员:院办、学生工作处、宣传部、保卫处、后勤处、教务处、西城高校后勤服务公司、纪检监察处、校工会主要负责人。
主要职责:在上级应急部门指导下,配合相关行政部门开展工作;根据事件性质和等级安排任务;决定成立工作组(调查组)到现场;决定信息报送的内容方式及请求上级(有关部门)援助的事项;督促对事件处理不及时、瞒报、谎报等相关人员的责任追究。
5、校园网络与信息安全突发事件应急处置工作组
组长由学院党委副书记担任,副组长由院办主任、宣传部部长、实训中心主任担任。工作组办公室设在实训中心,日常工作由实训中心承担。
成员:院办、宣传部、教务处、学生工作处、保卫处、招生就业指导中心、实训中心主要负责人。
主要职责:通过技术手段对各级网络实施有害信息监控;及时制止重大有害信息在校园网大面积传播;处置校园网遭受大范围攻击和其他的网络设施、设备的严重事故。
6、考试安全类突发事件应急处置工作组
组长由分管教学工作的副院长担任,副组长由教务处处长担任,工作组办公室设在教务处,日常工作由教务处承担。
成员:院办、学生工作处、教务处、纪检监察处、保卫处、实训中心主要负责人。
主要职责:根据事件等级决定是否启动应急预案;上报事件情况(包括事件原因、性质、程度、波及范围的初步判断和目前的应对措施);作出决策,协调各部门行动;对各项应急工作进行部署。
三、预防和预警机制
建立畅通的信息传输渠道和严格的信息上报机制,完善快速应急信息系统。
(一) 信息报送原则
1、迅速。最先发现或接到发生突发公共事件的单位或个人,应第一时间报告学院突发公共事件应急领导小组和院办、保卫处(火灾同时报119),不得延报。学院领导小组接报后必须立即向省教育厅或省卫生主管部门和省供销社进行初次报告。
2、准确。信息内容要客观翔实,不得主观臆断,不得漏报、瞒报、谎报。
3、续报。根据报告的内容和进展,分为初次报告、进展报告和结案报告。
(二)信息报送机制
1、紧急电话报告
各突发公共事件工作小组办公室接到报告后,应立即电话报告工作组组长、副组长,同时报学院领导小组办公室。领导小组办公室按院领导要求开展工作,同时与事发单位保持联系,进一步核实情况,并尽快通知相关部门及其相关工作组办公室。
2、紧急文件报送
突发公共事件执行电话报告后,院领导小组办公室在联系接报单位、接报人了解基本情况后,以简明书面形式报院领导小组组长、副组长,并按照相关预案和领导要求迅速开展工作。办公室根据院领导意见,将重大、重要信息材料形成初次报告书面报送省供销社和省教育厅。
3、突发事件报告的主要内容
(1)事件、事故发生基本情况,包括时间、地点、规模、涉及人员、破坏程度,以及人员伤亡等情况;
(2)事件、事故发生起因分析、性质的初步判断和影响程度的初步评估;
(3)事发后学校及其有关部门已采取的措施;
(4)事态发展状态、处置过程和结果;
(5)校内外公众及媒体等各方面的初步反应;
(6)需要报送的其他事项。
(三)预防和预警行动
1、在学院领导小组的统一部署下,各单位应相互支持,相互配合,要落实人员,明确责任,细化工作措施,把各项工作和要求落到实处。
2、加强应急反应机制的日常管理,在实践中运用和完善应急处置预案。各工作组组长要加强人员培训,定期或不定期地开展演练活动,不断提高应对突发公共事件的指挥能力和处置能力。
3、做好应对学校各类突发事件的人力、物力和财力方面的储备工作,确保突发事件预防、现场控制的应急设施、设备和必要的经费开支。
四、应急预案启动标准和响应程序
特别重大事件(Ⅰ级)、重大事件(Ⅱ级)、较大事件(Ⅲ级)、一般事件(Ⅳ级)发生后,事发处置工作组应立即启动相应预案。学院领导小组立即启动本预案开展处置工作,有关情况及时上报省供销社和省教育厅相关部门。
各处置工作组要根据事件的发展趋势动态调整事件级别,适时调整应急措施和方案,加大应急处置力度,提高应急处置工作的针对性和时效性。
(一)特别重大事件(Ⅰ级)应急响应
学院立即启动相应预案,主要负责人及时到现场组织协调,全力进行应急处置。同时将情况报告省供销社、当地政府、公安部门和教育厅,通报其他有关部门。
(二)重大事件(Ⅱ级)应急响应
学院立即启动相应预案,主要负责人及时到现场组织协调,全力进行应急处置。同时将情况报告省供销社、当地政府、公安部门和教育厅,通报其他有关部门。
(三)较大事件(Ⅲ级)应急响应
学院立即启动相应预案,全力进行应急处置。相应应急处置工作组组长带队到现场协调、指导。
(四)一般事件(Ⅳ级)应急响应
相应应急处置工作组组长带队到现场协调、指导,视情况决定是否启动应急预案。
(五)预案的启动
学院突发公共事件应急领导小组组长一旦决定启动本应急预案,领导小组成员部门必须立即执行。
五、应急保障
(一)信息保障。各部门要健全突发公共事件的信息收集、报送、处理机制(注意特殊情况下的信息传递),保持通讯设施完好,确保信息传递及时畅通。
(二)物资保障。各部门应事先对处置突发公共事件物资有所安排,加强与保卫、后勤等部门的联系,确保紧急情况下物资及时到位。
(三)资金保障。财会处每年应在经费预算中安排一定应急保障资金,专款专用。
(四)人员保障。各部门要采取必要措施,组建本部门突发公共事件应急处置队伍,确保该队伍成员随时到位在岗。
(五)培训演练保障。加强应急队伍的培训工作,以应急处理工作组为单位,每年至少组织应急队伍成员进行一次演练与培训,以提高快速反应和协同作战能力。
(六)应急处理电话
报警服务电话设在保卫处,24小时值班,8137346。
六、校园安全类突发事件应急处置
(一)校园安全类突发事件等级确认与划分
按照《国家大规模群体性事件应急预案》、教育部《教育系统突发公共事件应急预案》的要求,根据学校群体性事件的类型、规模、紧迫程度和可能的发展趋势等,校园安全类突发事件划分为四个等级:
1、特别重大事件(Ⅰ级)
包括聚集事件失控并走出校门游行、集会、绝食、静坐、请愿以及实施打、砸、抢等,引发外校及社会的连锁反应,形成严重影响学院和社会稳定的大规模群体性事件;针对师生员工的各类恐怖袭击事件以及视情况需要应作为Ⅰ级事件对待的事件。
2、、重大事件(Ⅱ级)
包括聚集事件失控,校园网上出现大范围串联、煽动和蛊惑信息,院内聚集规模迅速扩大并出现多校串联的趋势;院内出现未经批准的大规模游行、集会、静坐、请愿等行为,学院正常教育教学秩序受到严重影响甚至瘫痪以及视情况需要应作为Ⅱ级事件对待的事件。
3、较大事件(Ⅲ级)
包括单个突发事件引起连锁反应,院内出现带有煽动性的非法横幅、标语和大(小)字报,有关讨论已成为校园网BBS热点问题之一;院内局部聚集一次(累计)人数不足100人,但已影响学院正常秩序的群体性事端以及视情况需要应作为Ⅲ级事件对待的事件。
4、一般事件(Ⅳ级)
包括群体性事件呈萌芽状态或事件虽处单个状态但已引起师生员工关注,可能引发聚集;师生员工中出现少数过激言论行为,校园内(校园网)出现大(小)字报以及视情况需要应作为Ⅳ级事件对待的事件。
要根据事态发展变化及时确认事件等级,以调整应对措施,提高工作的针对性和时效性。
(二)校园安全类突发事件的预防和预警
1、预防预警工作
(1)建立不稳定因素定期分析排查制度。各单位要及时掌握各种动态,做好情况分析,加强教育引导,防范敌对势力利用改革发展中的问题进行煽动。
(2)提高工作的针对性。高度重视国内外重大事件的影响,特别是容易激化学生情绪的问题,做到早发现、早预防、早处置。要做好敏感时期、重大活动、重大节日期间的安全保卫工作的部署,同时加强对工作落实情况的检查督促。
(3)加强值班和信息报送工作。各单位要建立规范的值班制度。敏感时期、重大活动、重大节日期间由领导带班,实行24小时值班并按照上级主管部门要求每日报告情况。
2、信息报送制度
重大情况报告请示。学院对发生(可能发生)的校园安全类突发事件,必须立即报告省供销社和省教育厅,处置过程中要及时续报情况。
(三)应急响应
1、应急处置原则
坚持“谁主管、谁负责|”和“早发现、早报告、早控制、早解决”的原则,努力把事态控制在校园内、把矛盾解决在萌芽状态,防止个别问题共性化,局部问题全局化,经济问题政治化,非对抗性矛盾对抗化。
2、特别重大事件(Ⅰ级)的处置
(1)学院立即启动应急预案,成立现场指挥部,同时向当地政府和上级有关部门报告,请求派遣警力进校,避免事态继续恶化。
(2)学生出校门集会游行,相应应急处置工作组要领导学生工作处、各部门、保卫处等部门及时劝阻;劝阻无效时要配合公安部门维持秩序、现场警戒,防止社会闲杂人员和别有用心的人进入游行队伍寻衅滋事,防止学生出现各种过激行为。要充分发挥党政工团组织及学生骨干的作用,切实做好思想政治工作,做到师生不停课、不离校,同时加强校园管理,严格控制人员出入。
(3)公安部门采取坚决措施时,各单位要继续做好劝导工作,确保学生安全离开现场。处理学生时要掌握时机和分寸,避免矛盾激化。
(4)针对师生的恐怖袭击事件,按《国家处置大规模恐怖袭击事件应急预案》的有关要求执行。
3、重大事件(Ⅱ级)的处置
学院立即启动应急预案。主要领导出面与学生对话,控制事态发展;各部门领导,辅导员深入学生班组和宿舍,面对面做好疏导工作;对蓄意破坏、危及公共安全的人员要报请公安部门与保卫部门联合实施监控;涉及外教时,要立即对他们采取保护措施并及时通报上级外事主管部门;严格门卫管理,防止社会闲杂人员进入和学生外出集会游行。
4、较大事件(Ⅲ级)的处置
学院突发公共事件应急领导小组接报后迅速决定是否启动应急预案。相关负责人立即到现场进行处置,了解情况。能够解决的问题,要马上妥善处理;情况不清需要调查的,则进行认真解释。使学生理解并支持学校的工作,同时尽快疏散聚集的学生,恢复正常秩序。
5、一般事件(Ⅳ级)的处置
发现有社会危害的大(小)字报及传单,应急处置工作组要迅速组织清除,防止扩散;同时监控张贴者,确定其身份后妥善处置。发现事端苗头,要立即现场取证并会同相关部门及时解决。保卫处要加强校园巡查和对不稳定因素的监控,做到及时发现、及时报告、及时处理。
(四)善后与恢复
后期处置的重点是尽快查清事件的原因,妥善解决问题,满足师生合理要求,平息情绪。
1、对于国内外重大热点问题或因国家、民族感情等问题引发的政治性群体事件,各单位要组织师生学习有关文件,通过形势报告会、座谈会、讲座等方式加强教育,保护师生员工的爱国热情和民族感情,抵制错误思潮,引导他们把思想和行动统一到党和政府的决策上来。
2、校园及周边治安案件引发的群体性事件,应急处置工作组要协调对伤亡师生进行人道主义抚恤或补偿,对受害者家属进行慰问,保卫处要配合公安等部门加强整治校园及周边环境,切实解决交通、治安等方面的隐患。
3、学院改革涉及师生切身利益引发的群体性事件,要面对问题积极主动解决:政策法律有明确规定的,必须尽快落实;要求合理但一时难以解决的,要做好解释工作。要关心困难和离退休教职工的生活,对后勤社会化改革以及可能引发的师生切身利益等问题要高度重视,妥善处理。
4、事件平息后,学院及各部门要认真反思引发事件的原因,及时总结处置中的经验教训,制定进一步改进工作的措施,巩固成果,防止反弹。相关情况及时报告省供销社、省教育厅。
七、事故灾难类突发事件应急处置
(一)事故灾难类突发事件等级确认与划分
根据教育部《教育系统突发公共事件应急预案》、《湖南省突发公共事件总体应急预案》的要求,结合我院实际,将事故灾难类突发事件按严重程度分为四级。
1、特别重大事件(Ⅰ级):一次死亡20人以上;学院财产遭受特别重大损失;学院教学秩序产生重大影响的事故灾害。
2、重大事件(Ⅱ级):一次死亡10-19人;学院财产遭受重大损失;对学院教学秩序产生重大影响的事故灾害。
3、较大事件(Ⅲ级):一次死亡3-9人;重伤11人以上;对学院财产造成损失;对学院教学秩序产生较大影响的事故灾害。
4、一般事件(Ⅳ级):一次死亡2人以下;重伤2人以上;对学院教学秩序产生一定影响的事故灾害。
(二)应急处置措施
1、火灾事故处理办法
(1)学院立即启动应急预案,院领导和有关人员迅速到现场组织疏散、灭火,同时向119指挥中心报警。消防队到后主动提供有关信息,配合他们的工作;
(2)迅速切断煤气、电源等火源,避免继发性危害;
(3)抢救伤员,配合医疗机构进行救治;
(4)采取措施封锁现场、疏散人员、转移重要财物,做好受灾人员安置工作;
(5)信息报送:2小时内报省供销社和省教育厅;
(6)积极配合公安消防部门进行事故调查,根据灾情程度,依法追究责任。
2、建筑物倒塌事故处理办法
(1)学院发生房屋、围墙等建筑倒塌事故,有关领导和工作人员要在第一时间赶往现场,根据灾情启动应急预案,迅速开展现场处置和救援工作,并向当地政府和有关部门报告;
(2)迅速切断煤气和电源,并密切关注连带建筑物的安全状况,消除继发性危险;
(3)及时组织力量,解除受困人员,抢救伤员,配合医疗机构妥善安置好伤病员;
(4)妥善解决好受害人员的安居和生活问题,积极做好事故调查和其他方面的处理工作。
3、楼舍通道拥挤踩踏事故处理办法
(1)相关部门要及时排查隐患,加强学生教育管理工作;
(2)一旦发生事故,有关人员要迅速到现场组织抢救,学院视情况启动应急预案,立即向医疗急救部门求援,同时报省供销社和省教育厅;
(3)控制局面,开展现场疏导、救护工作,对伤员进行紧急抢救处置后尽快送往医院;
(4)迅速通知伤员家属,及时向师生和群众通报有关情况,确保校园和社会稳定。
4、校园爆炸事故处理办法
(1)学院领导和有关人员迅速到现场组织抢救,启动应急预案并向省供销社、省教育厅和公安部门报告。
(2)保卫处在爆炸现场设置隔离带,疏散人员,保护现场,控制治安环境,同时采取有效措施检查并消除其他危险;配合公安部门搜寻物证。发现肇事者(嫌疑人)应采取有效措施控制,并迅速报告公安部门;
(3)院医务人员要及时对伤员进行紧急抢救处置后尽快送往医院;
(4)积极配合公安部门进行事故调查,做好善后安抚工作。
5、突发危险品污染事故处理办法
(1)学院意外因素引起危险品污染、燃气泄露等重大事故时,应立即启动应急预案,学院领导和有关人员要在第一时间赶往现场,组织相关人员查明情况,迅速控制消除或减轻危害,及时采取措施控制事态发展。
(2)污染、泄露情况严重,应立即向湖南省和长沙市人民政府报告,由地方政府启动应急预案,学院相关部门应积极协调同政府有关专业部门进行现场调查、检验,实施抢救,切断污染源,隔离污染区,防止污染泄露扩散和事故的扩大蔓延;
(3)要对现场的重要物资、设备、特别是易燃易爆腐蚀的设备、器具组织安全转移,及时通报或疏散可能受到污染危害的师生员工,安排好他们生活;
(4)及时开展对受害人员的医疗救治;
(5)危险或危害排除后,积极配合相关部门进行事故调查,做好善后工作;
6、校园恶性交通事故的处理办法
(1)发生校园恶性交通事故,涉及有本院师生员工的,学院应急处置工作组组长和相关人员迅速到现场组织抢救;
(2)立即向公安交警报警(电话:122),向医疗急救部门求助(电话:120),并向上级主管部门报告;
(3)积极配合公安交警保护好现场,有效控制肇事人,寻找证人做好证词;
(4)及时通知伤亡亲属;
(5)积极协助公安交警部门及时查看现场情况,参与协助调处,涉及外籍师生的要及时按规定报告上级外事部门;
7、大型群体活动公共安全事故处理办法
(1)学院举办的各类大型活动,组织部门负全责,必须按照规定做好专项安全保卫方案,落实安全保卫措施;
(2)活动中一旦发生重大事故,应立即启动应急预案,学院领导和有关部门必须在第一时间赶到现场,靠前指挥,组织疏导,抢救伤员;
(3)活动组织者和安全工作负责人要稳定现场秩序,组织师生有序疏散,尽力避免继发性灾害;
(4)事故中遇有伤亡者,及时组织医院进行伤员抢救工作,并通知伤亡者亲属,妥善安排好善后处理工作;
(5)积极配合公安和有关部门开展调查工作,总结经验教训,避免类似事故重演。
8、外出实习、参观等活动安全事故处理办法
(1)认真组织。外出实习、参观、考察等活动单位负责人和组织活动的部门要健全活动组织体系和应急预案,配备必要工具设施;
(2)加强联络。离开校园要完善通讯体系,做好定期通讯联络工作,定期清点人员,及时沟通信息;
(3)妥善处置。发生事故时,立即向学院领导和当地有关部门报告,争取帮助,同时积极组织自救、互救工作;学院分管领导要积极指导现场人员的工作,必要时派工作组前往,同时争取事发地政府和有关部门的支持帮助。
9、突发后勤保障安全事故处理办法
(1)学院后勤部门要做好重点场所及重点部门的事故防范工作,落实管理制度和操作规程,确保各种设施安全运行;
(2)发生重大事件,有关人员要立即到现场组织抢救抢修,控制事态发展,学院视情况启动应急预案,必要时请当地有关职能部门支持;
(3)饮食(水)供应必须有相应保护措施,发生污染要立即停用,保护现场并请卫生防疫部门检验处置。
10、校园周边突发安全事故处理办法
(1)保卫处应根据事故的严重性,在第一时间向领导小组办公室或领导小组组长报告,同时做好校园内的防范工作;
(2)积极协助当地有关部门处置,防止事态扩大;
(3)及时向师生员工通报情况,稳定校园秩序。
11、灾难性事故处置中的其他注意事项
(1)有人员伤亡的,首先要采取措施抢救伤员;
(2)采取各种措施时,要充分考虑继发性伤害问题;
(3)及时向师生员工通报情况,稳定校园秩序。
(三)善后与恢复
应急处置和救护活动结束,工作重点应转向善后恢复,尽快恢复学校正常教学生活秩序。
1、做好伤亡人员的治疗、抚恤(赔偿)工作,对受害者家属进行慰问,协助向保险公司联系赔付;
2、尽快查明事故原因,确保信息准确、及时公布,以疏导师生员工情绪,稳定校园秩序;
3、总结教训,举一反三,全面检查学院设施设备和管理环节,及时整改隐患,避免类似事故再次发生;
4、及时追究事故中失职、渎职人员的责任;
5、保卫处要积极配合公安部门做好涉及刑事犯罪的侦破工作。
八、公共卫生类突发事件应急处置
(一)公共卫生类突发事件等级确认与划分
根据《国家突发公共卫生事件应急预案》、教育部《教育系统突发公共事件应急预案》的要求,结合学校实际,将突发公共卫生事件划分为四级。
1、特别重大突发公共卫生事件(Ⅰ级)
(1)学校发生肺鼠疫、肺炭疽、传染性非典型肺炎、人感染高致性禽流感、群体性不明原因疾病、新传染病以及我国已经消灭的传染病等达到国务院卫生行政部门确定的特别重大突发公共卫生事件标准;
(2)发生在学院,国务院卫生行政部门认定的其他特别重大突发公共卫生事件。
2、重大突发公共卫生事件(Ⅱ级)
(1)学院发生集体性食物中毒,一次中毒超过100人并出现死亡病例,或出现10例及以上死亡病例;
(2)学院发生肺鼠疫、肺炭疽、腺鼠疫、霍乱等传染病病例,发病人数以及疫情波及范围达到省以上卫生行政部门认定的重大突发公共卫生事件标准;
(3)学院发生传染性非典型肺炎、人感染高致病性禽流感疑似病例;
(4)乙、丙类传染病短期内爆发流行,发病人数及疫情波及范围达到省以上卫生行政部门认定的重大突发公共卫生事件标准;
(5)因预防接种或预防性服药造成人员死亡;
(6)发生在学院,经省以上卫生行政部门认定的其他重大突发公共卫生事件。
3、较大突发公共卫生事件(Ⅲ级)
(1)学院集体食物中毒,一次中毒人数超过100人,或出现死亡病例;
(2)学院发生肺鼠疫、肺炭疽、腺鼠疫、霍乱等传染病病例,发病人数以及疫情波及范围达到市(州)以上卫生行政部门认定的重大突发公共卫生事件标准;
(3)发生在学院的因预防接种或预防性服药造成的群体性心因性反应或不良反应;
(4)发生在学院,经市以上卫生行政部门认定的其他较大突发公共卫生事件。
4、一般突发公共卫生事件(Ⅳ级)
(1)学院一次集体食物中毒30-100人,无死亡病例;
(2)学院发生腺鼠疫、霍乱病例,发病人数及疫情波及范围达到区以上卫生行政部门认定的重大突发公共卫生事件标准;
(3)发生在学院的,经区以上卫生行政部门认定的其他一般突发公共卫生事件。
5、鉴于学院公共卫生事件涉及师生员工健康安全,社会关注度较高,未达到Ⅳ级突发公共卫生事件标准的一般公共卫生事件,均按Ⅳ级突发公共卫生事件进行处置。
6、学院所在地发生可能对师生员工健康造成危害的突发公共卫生事件,应在当地政府和卫生行政部门领导下,根据事态发展做好院内的相应工作。
(二)信息报告
1、突发公共卫生事件的责任报告人
责任报告人:后勤处主要负责人。
2、突发公共卫生事件报告时限及程序

(1)初次报告
学院发生突发公共卫生事件后,经请示学院领导小组组长批准后,在2小时内向省供销社、省教育厅和属地卫生行政部门进行初次报告。
(2)进程报告
Ⅰ级和Ⅱ级突发公共卫生事件处置中,学院每天应将情况报告省供销社、省教育厅。
Ⅲ级和Ⅳ级突发公共卫生事件处置中,学院应及时将情况报告省供销社、省教育厅。
(3)结案报告
事件结束后,应将处理结果报告省供销社、省教育厅。
3、报告内容
(1)初次报告内容
必报内容:事件发生时间、地点、造成伤害人数;
选报内容:事件性质初步判断、可能的发生原因等。
(2)进程报告内容:事态控制(有害物丢失的查找)情况、患病(中毒)人员病情变化与治疗情况、事故原因、已经或准备采取的措施。
(3)结案报告内容:事件处理、整改和责任追究情况等。
(三)应急反应
1、学院发生突发公共卫生事件时,各部门在突发公共事件应急领导小组统一指挥下,按分级负责原则作出相应反应。学院根据需要适时启动应急预案。
2、学院突发公共卫生事件应急处理采取边调查、边处理、边抢救、边核实的方式,以有效控制事态发展。
3、Ⅰ级突发公共卫生事件应急反应
按照Ⅱ级突发公共卫生事件应急反应要求组织实施相应措施,每天按要求向上级主管部门报告事件处理情况。根据卫生部门对事件的判断,在教育厅和当地政府领导下启动应急预案,实行集中办公,24小时值班。根据事态变化及时调整应对措施;协助有关部门进行调查并根据调查结果通报有关情况,督促对失职、渎职人员进行责任追究。
4、Ⅱ级突发公共卫生事件应急反应
按照Ⅲ级突发公共卫生事件应急反应要求组织实施相应措施,每天按要求向上级主管部门报告事件处理情况。根据卫生行政部门意见,在教育厅和当地政府领导下适时启动应急预案;协助有关部门进行调查并根据调查结果通报有关情况,督促对失职、渎职人员进行责任追究。
5、Ⅲ级突发公共卫生事件应急反应
按照Ⅳ级突发公共卫生事件应急反应要求组织实施相应措施,做好伤病(死亡)人员家属接待和安抚工作,按教育厅和当地政府和部门统一部署,落实其他措施;根据调查结果对有关责任人员进行查处。
6、Ⅳ级突发公共卫生事件应急反应
(1)在场人员立即将情况报告学院领导小组组长,学院迅速报告当地卫生部门,组织救治工作。停止出售并追回已售可疑食品并认真封存;控制(切断)可疑水源。
(2)保卫处封锁现场,排查相关场所、人员,配合公安部门开展侦破工作。
(3)后勤处配合卫生部门对可疑食(物)品取样留验,对中毒现场(可疑污染区)进行消毒处理,对与肺鼠疫、肺炭疽、霍乱、传染性非典型肺炎病人密切接触都实施隔离。
(4)相关部门尽快与患者家长(家属)联系并在适当范围通报情况,稳定师生员工和群众的情绪。
(5)学院按卫生部门要求,认真落实其他紧急应对措施;无法解决的问题及时报告,争取支持和帮助。
突发公共卫生快速应急处置工作程序:

(四)善后与恢复
突发公共卫生事件应急处置后,应重点做好善后与恢复工作,尽快恢复学院正常教学、生活秩序。
1、如因传染病停课,须对教学生活设施彻底清扫消毒后方能复课;因传染病停学的学生,须经卫生部门检查,确定恢复健康后方可复学;因水源污染造成传染病流行的,其水源须经卫生部门检测合格后方可重新启用。
2、根据事件原因和责任划分,相关部门要认真做好受害人员善后工作。
3、根据事件原因调查结果,追究事故中失职、渎职人中的责任。
4、按有关部门建议,积极整改问题,防止类似事件再次发生。
九、自然灾害类突发事件应急处置
(一)自然灾害类突发事件等级确认与划分
根据《国家自然灾害救助应急预案》、教育部《教育系统突发公共事件应急预案》的要求,结合学院实际,将自然灾害类突发事件按严重程度,从高至低分为三级。
1、Ⅰ级事件:指学院所在区域人员和财产遭受重大损害,对学院教学、生活秩序产生重大影响的自然灾害。
2、Ⅱ级事件:指对学院的人员和财产造成较大损害,对学院教学、生活秩序产生重要影响的自然灾害。
3、Ⅲ级事件:指对个体造成损害,对学院教学、生活秩序产生一定影响的自然灾害。
(二)自然灾害类快速应急处置工作程序

(三)应急处置措施
1、预报后的应急反应
(1)各级政府发布自然灾害预警预报后,学院宣布进入预备应急期;
(2)根据当地政府部署,配合有关部门监测险情,检查学院应急预案准备情况,必要时组织师生员工疏散;
(3)加强宣传工作,教育师生员工不信谣、不传谣,维护校园稳定。
2、灾害发生后的应急反应
在当地政府统一指挥下,学院根据灾害等级启动应急预支案。首先做好本院抢险救灾工作,全力确保校园安全,减少损失,同时向教育厅、省供销社报告学院发生的灾情和工作情况,配合相关部门做好其他工作。
(四)善后与恢复
应急处置后,重点应转向善后恢复,尽快恢复学院正常教学生活秩序。
1、学院后勤处、关工委做好事故伤(亡)人员的治疗工作,同时协助向保险公司联系赔付。
2、院领导小组办公室要及时、准确向全院发布有关信息,疏导师生员工情绪,稳定校园秩序。
3、保卫处牵头全面整治安全隐患,提高防灾、抢险能力,避免类似情况再次发生。
4、总结经验教训,追究抢险救灾工作中失职、渎职人员责任。
十、网络和信息安全类突发事件应急处置
(一)网络和信息安全类突发事件等级确认与划分
根据《国家通讯保障应急预案》、教育部《教育系统突发公共事件应急预案》的要求,结合学院实际,将网络和信息类突发公共事件按严重程度分为四级。
1、特别重大事件(Ⅰ级)
学院校园网上出现大面积的串联、煸动和蛊惑信息;主页出现反动、煽动民族分裂、破坏稳定等反动政治信息及链接;网络发现泄密、失密事件。
2、重大事件(Ⅱ级)
关系稳定事件的讨论已成为校园网BBS论坛热点问题之一,引发校内局部聚集或其他形式聚集;主页出现淫秽等有害信息及链接。
3、较大事件(Ⅲ级)
校园网网络上出现大小字报,呈现可能影响稳定的苗头性信息;主页出现不良信息及链接;主页服务器、网络主要互联出口、辖内主干网络中断甚至是全部中断超过72小时。
4、一般事件(Ⅳ级)
校园网主要网络设备和服务器受到非法侵入;主页服务器、网络主要互联出口、辖内主干网络中断甚至是全部中断小于72小时(含)。
(二)预防预警措施
1、防预警信息
校网络中心进行实时监测,周期性(即时)发布主要异常流量来源单位、可能招致攻击的网络互联设备和计算机安全漏洞、网络蠕虫病毒动态变化趋势统计等预警信息,通过监测及时发现异常状况和发展趋势,给出预警信息并及时处理。院网络中心和保卫处应加强与国内安全组织交流,收集安全预警信息。
2、防预警行动
网络和信息安全预防措施包括分析安全风险,准备应急处理措施,建立网络和住处系统的监测体系,控制有害信息的传播,预先制定信息安全重大事件的通报机制。
(1)网络和住处安全风险一般包括:关键设备(系统)故障;水、火、电等灾害造成的物理破坏;人为失误造成的安全事件;病毒蠕虫等恶意代码危害;人为恶意攻击(包括拒绝服务、系统入侵、篡改主页、窃取敏感信息、散布有害信息)等。
(2)应急准备。院网络中心要明确职责和管理范围,作出被管对象和相应风险列表文档,成立网络和信息安全应急工作组,按要求安排应急值班,并将值班安排上报,确保到岗到位,联络畅通,处理及时准确。
(3)具体措施
①物理环境:建立落实管理制度和技术防范措施,建立安全、可靠、稳定运行的机房环境,并落实防火、防盗、防雷电、防水、防静电、防尘等预防措施,对运行关键部位实施24小时保卫;禁止任何非授权人员进入;建立备份电源系统并定期检查系统是否能够正常工作;建立重大安全事件发生时的人员疏散机制;对所有人员进行防火、防盗等基本技能培训。
②网络设备和通信线路:核心设备线路备份,避免单点故障;核实路由器操作系统安全、打过补丁;采用认证方式避免非法接入和虚假信息;禁止非法访问,授予管理员不同权限,关闭非必要服务;实时监视和入侵监测,及时排除故障、处理攻击;保证足够带宽,防止突发流量造成拥塞导致网络瘫痪。
③计算机系统:重要系统采用高可靠硬件、稳定软件、备份等措施,落实数据备份机制,遵守安全操作规范;安装稳定的操作系统和最新补丁,并定期更新;关闭所有不必要服务、帐号;限制内部用户访问权限;安装有效的防病毒软件,并及时更新病毒定义码;对用户和管理员进行安全技术培训;重要数据定期备份。
④重要信息系统:重要信息服务实行登记备案;严格信息上网审查;为避免域名系统的单点故障,建立至少主辅备份,并分布在不同的子网网络,严格配置主机系统安全;对于学院或部门的主页,除了严格配置主机系统安全以外,应该建立防火墙保护主机的安全;对有重大影响的信息系统,建立24小时监控机制,及时发现并解决问题。
⑤各级网络边界控制:局域网边界建立防火墙,重大安全事件爆发时实施访问控制;在邮件服务器前配置反病毒和反垃圾邮件网关;安装入侵检测系统,监测攻击、病毒和蠕虫的发展,及时发现重大安全攻击事件;控制有害信息经过网络的传播,建立网关控制、内容过滤等控制手段。
3、信息报告
发生网络和信息安全事件时,校园网络中心应及时清除障碍、保留证据,按应急程序请示进一步处置方案。必要时,经请示校领导小组组长批准后,报省教育厅信息中心。
(三)应急响应
网络和信息安全工作遵循“谁主办、谁负责”的原则,统一管理,分级负责,快速反应,高效处置。
1、网络环境事件处置
网络环境安全包括火灾、盗窃、破坏等能或可能影响教育管理信息网络的事件。供电相关事件,由网络和信息安全应急工作组负责现场处置,根据停电时间、用电功耗、电池电能储备、供电管理部门信息、网络和信息运行情况等条件作高度,包括次要系统停电减轻负载等措施,密切跟踪参数变化并反馈调整控制,联系相关公司和人员作现场维护。
2、网络运行事件处置
由院网络中心负责,重大事件(包括:线路中断、路由故障、流量异常、域名系统故障等)立即向网络和信息安全应急工作组组长报告,由组长决定采取处置措施。
3、网络攻击事件处置
由校网络中心按部门分工和应急流程处置。对于大规模、影响较大的恶意移动代码、拒绝服务攻击、系统入侵和端口扫描处置;
(1) 通知网络和信息安全应急工作组负责人和中心主管,决定上报或通报;
(2) 按预案通知相关管理员采取措施,或直接实施控制;
(3) 处置人员记录事件处理步骤和结果,总结报告。
4、信息安全事件处置
发生信息安全事件应急紧急通知信息主管负责人,及时消除非法信息,恢复系统。无法迅速消除或恢复系统,影响较大时实施紧急关闭,并紧急上报。
(四)应急保障
1、组织保障。学院建立网络和信息安全应急工作组,并与本地公安部门、互联网管理安全部门和电信运营商、供电公司等相关单位衔接,划分责任和协调应急机制。
2、通信保障。学院建立内部、外部住处信息联络机制,确保应急联络渠道畅通。
3、环境保障。学院要建立并保证网络中心和电力、空调、机房等网络安全运行基本环境。
4、技术保障。学院建立起条例要求的网络与信息安全保障技术支撑体系。院网络中心要加紧对日常安全保障和应急处置中的关键技术进行研究,适时予以应用,确保教育管理信息网络安全管理平台和技术标准的先进、实用和可靠。
5、流程保障。学院按“属地管理、分级负责”原则,坚持应急处置流程,如果出现本层次应急处理流程中断或事件升级,要及时向更高层次通报,避免延误。
(五)善后与恢复
学院在发生网络和信息应急事件后,应对重大事件作总结报告,上报教育厅同时应根据应急处置中暴露的管理、协调和技术等问题,改进和完善预案并实施针对性演练。
十一、考试安全类突发事件应急处置
(一)事件等级的确认
根据事件危害程度,分为三个等级:
(1)Ⅰ级事件
在我院进行的国家级使用的拟考试题发生泄密;在媒体登载拟考试题或相关信息;性质为贩卖或蓄意破坏;扩散范围广。
(2)Ⅱ级事件
①情况一:在我院进行的省级使用的拟考试题发生泄密;未在媒体上登载拟考试题或相关信息;性质为自用;扩散范围有限。
②情况二:在我院进行的省级使用的拟考试题发生泄密;在媒体上登载拟考试题或相关信息;性质为贩卖或蓄意破坏;扩散范围较广。
(3)Ⅲ级事件
学院组织的各类重大考试(自主出题)使用的拟考试题发生泄密;性质为自用;扩散范围有限。
(二)失泄密事件应急处置工作程序

(三)失泄密事件应急处置措施
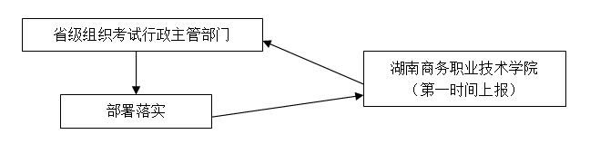
接到失泄密事件报告后,立即启动本预案,召开考试安全类突发事件应急处置工作组成员会议,研究部署突发事件处置措施,落实部门责任,并第一时间向省级组织考试的行政主管部门上报情况。分级处置措施如下:
1、Ⅰ级事件
在执行Ⅲ级事件各项措施的基础上:
(1)学院院长到事件发生地指导、督促处置工作。
(2)教务处等单位做好对考生的解释、安抚、善后等工作,同时做好启用副题进行考试的各项准备工作。
2、Ⅱ级事件
(1)情况一:在网络或其他媒体上未发现泄露拟考试题,初步判断窃密性质为自用,扩散范围有限,采取的处置措施同Ⅲ级事件。
(2)情况二:在网络或其他媒体上已发现拟考试题泄露,初步判断窃密性质为贩卖或蓄意破坏,扩散范围较广,采取的处置措施同Ⅰ级事件。
3、Ⅲ级事件
(1)学院立即按本预案开展相应工作。在考试安全类突发事件应急处置工作组长领导下,由工作组成员和部门负责人共同负责处理;提供启用副题等解决方案。
(2)院网络中心根据考试安全类突发事件应急处置工作组的要求,立即对校园网进行监控;发现泄密有关的信息,立即采取措施控制嫌疑人员,并将网站信息报学校考试安全类突发事件应急处置工作组。
(3)院办、宣传部根据学校的要求,立即采取有效手段,在破案前防止新闻媒体对有关情况报告和炒作。
(4)保卫处协助公安机关,立即着手开展调查、处理、侦破工作,有关情况续报学校考试安全类突发事件应急处置工作组。
(5)考前未破案,但确定试题未大规模扩散,学院突发公共事件应急处置领导小组报请教育厅批准,考试可如期举行。
(四)考试实施过程中发生自然灾害,考试被迫中止,按“自然灾害类突发事件应急处置”的程序办理,尽量减少人员伤亡。同时采取有效措施防范失(泄)密事件发生,妥善处理停考考生补考问题。
(五)考试期间发生交通类、公共卫生类突发事件,被迫中止考试,按“事故灾难类、公共卫生类突发事件应急处置”程序办理,尽量减少人员伤亡。同时采取有效措施防范失(泄)密事件发生,妥善处理停考考生补考问题。
(六)考试中发生大规模的集体违纪舞弊事件,按失泄密Ⅲ级事件处置。
十二、附则
(一)对在各类突发公共事件应急处置中表现突出的部门和个人,应予以表彰奖励;对处置不力的部门和个人依据有关法规给予处分;构成犯罪的,依法追究刑事责任。
(二)本预案自印发之日起施行。
(三)本预案由院保卫处负责解释。
(一)目的
为有效预防、及时控制和妥善处理学院各类突发公共事件,提高快速反应处理能力,建立健全应对突发事件的救助体系和运行机制,规范和指导应急处理工作,有效预防、积极应对、及时控制校园突发公共事件,保障全院师生员工身体健康与生命安全,维护正常的教学、工作、生活秩序,维护学院的安全稳定,特制定本预案。
(二) 编制依据
根据《中华人民共和国教育法》、《高等教育法》、《刑法》、《集会游行示威法》、《国家突发公共事件总体应急预案》、教育部《教育系统突发公共事件应急预案》、《突发公共卫生事件应急条例》,制定湖南商务职业技术学院突发公共事件应急预案。
(三) 适用范围
本预案适用于院内各单位、各部门突发公共事件应急处置工作。所指突发公共事件主要包括:
1、校园安全类突发事件
学院内外涉及师生员工参与的各种非法集会、游行、示威、静座、请愿以及集体罢餐、罢课、上访、聚众闹事、群殴等群体性事件;各种非法传教、串联等政治性活动;针对师生员工的各类恐怖袭击事件;师生员工非正常死亡、失踪等影响学院和社会稳定的事件。
2、事故灾难类突发事件
学院楼、堂、馆、舍等发生火灾,建筑物倒塌,拥挤踩踏等事故;校内交通事故;集体活动事故;造成重大损失和有影响的后勤保障事故;重大环境污染事故;影响学院安全稳定的其它突发灾难事故等。
3、公共卫生类突发事件
造成(可能造成)损害师生员工健康安全的事件,包括院内公共卫生事件,如突然发生、造成或者可能造成师生员工健康严重损害的重大传染病疫情、群体性不明原因疾病、集体性食物中毒事件等;当地发生的可能影响学校的公共卫生事件。
4、自然灾害类突发事件
气象、地质、地震等灾害以及由此诱发的校园内各种次生及衍生性灾害。
5、网络与信息安全类突发事件
利用校园网络发送有害信息,进行反动、色情、“法轮功”邪教、迷信、非法宗教渗透等宣传活动;窃取国家及学校保密信息,可能造成严重后果的事件;各种破坏校园网络安全运行的事件等。
6、考试安全类突发事件
在院内开展的全部社会及教育系统统一组织的国家教育考试命题、制卷、运送、保管等环节出现的泄密事件;在考试、评卷过程中发生的违规事件等。
7、其他影响学院安全与稳定的突发公共事件。
(四)工作原则
1、统一指挥,快速反应。学院成立突发公共事件应急处置工作领导小组(以下简称“领导小组”)。学院党政一把手为第一责任人,全面负责学校突发公共事件的处置工作,同时制定应急预案,完善保障措施,建立快速反应机制。一旦发生突发公共事件,根据事件类型、级别等因素迅速启动相应预案,做到快速反应,正确应对,果断处置,减少各种损失。学院内各单位、各部门主要负责人是本单位、本部门第一责任人,必须完善本单位(部门)内部的分工协作,做到群防群控,力争把问题控制在萌芽状态。
2、系统联动,加强保障。突发公共事件发生后,各相关部门负责人要立即深入第一线,掌握情况,控制局面,同时积极取得当地党委、政府的支持和配合,加强各项保障措施和力量部署,从制度、组织、物资等方面做好充分准备,确保预案一旦启动即能有效实施,提高工作效率。
3、预防为本,及时控制。要认真贯彻“高度重视,积极疏导,防止失控,维护稳定”的工作方针,立足防范,强化应急预案对日常预防工作的指导作用;加强信息收集、研析,从细节抓起,做到早发现,早研究,早解决;增强应急预案的针对性和操作性,提高应急反应能力。
4、区分性质,处置得当。处置突发公共事件(特别是校园安全类事件)要根据事件类型、级别等因素采取相应对策,积极化解矛盾,做好善后工作,维护学校正常秩序。对师生的诉求要晓之以理、动之以情,按“可散不可聚,可顺不可激,可分不可结”的原则进行疏导;对煸动闹事的人员要依法处理,确保校园稳定。
(五)突发公共事件等级划分
校园突发公共事件按其类型、规模、紧迫程度、可能的发展趋势等,由高到低分为:特别重大事件(Ⅰ级)、重大事件(Ⅱ级)、较大事件(Ⅲ级)、一般事件(Ⅳ级)。各类突发公共事件等级的具体划分,由学院突发公共事件应急工作领导小组掌握。
二、应急处理指挥机构及职责
(一)学院突发公共事件应急处置工作领导小组
组 长:党委书记、院长
副组长:党委副书记、副院长
成 员:党委办公室、院长办公室、组织部、学生工作处、宣传部、人事处、、保卫处、教务处、科研处、财会处、后勤处、西城高校后勤服务公司、纪检监察处、校工会、实训中心、教学五大系主要负责人。
领导小组的主要职责:
1、 负责统一决策、组织、指挥学院突发公共事件的防范和处理;
2、 定期研究分析学院防范和处理突发事件工作;
3、 协调、解决防范和处理突发公共事件工作中的困难和问题;
4、 协调防范和处理突发公共事件与校园正常教学、生活相关工作的关系,确保各项工作有序开展;
5、 对学院各部门和个人在防范和处理突发公共事件工作中的表现作出奖惩;
6、 向省、市相关职能部门汇报工作,并及时取得工作支持。
(二)领导小组下设办公室及主要职责
领导小组办公室地点设在院办公室,院办主任兼任领导小组办公室主任,日常工作由院办承担。
领导小组办公室及主要职责:
1、 负责及时调查收集、分析防范和处理突发公共事件中相应的数据和工作情况;
2、 拟定防范和处理突发公共事件阶段性工作计划;
3、 拟定防范和处理突发事件的综合性文件、汇报材料、领导讲话和工作总结;
4、 提出相关政策建议以及协调防范和处理突发事件工作与日常教学、行政工作的建议;
5、 协调各部门防范和处理突发性事件工作;
6、 印发领导小组工作人员的组成和通讯方式,如有变动,及时调整;
7、 根据领导小组授权,及时向省、市相关职能部门报送突发事件有关信息,征求处理意见和相关支持;
8、 做好领导小组交办的其他工作。
(三)应急处置工作级别的组成及主要职责
领导小组下设6个相应应急处置工作组,具体如下:
1、 校园安全类突发事件应急处置工作组
组长由分管学生工作、安全保卫工作的副院长担任,副组长由院办主任、学工处处长、保卫处处长担任。
工作组办公室:属学生工作的事项设在学生工作处,日常工作由学生工作处承担;属安全稳定类的工作设在保卫处,日常工作由保卫处承担。
成员:院办、学生工作处、宣传部、保卫处、教务处、后勤处、西城高校后勤服务公司主要负责人。
主要职责:组织、指挥突发事件现场应急处置工作;根据事件性质和等级安排任务;决定成立工作组(调查组)到现场,做好事件调查、事后处理;做好师生思想工作,恢复教学、生活秩序;决定信息报送(公布)的内容方式及请求上级(有关部门)援助的事项;督促对事件有关人员的责任追究。
2、事故灾难类突发事件应急处置工作组
组长由分管安全稳定的党委副书记担任,副组长由院办主任、保卫处处长、后勤处处长担任,日常工作由保卫处承担。
成员:院办、学生工作处、宣传部、保卫处、后勤处、西城高校后勤服务公司、纪检监察处主要负责人。
主要职责:组织、指挥突发事件应急处置、救援、现场保护工作;根据事件性质和等级安排任务;决定成立工作组(调查组)到现场,召开事故现场会,做好事件调查、事后处理;做好师生思想工作,恢复教学、生活秩序;决定信息报送(公布)的内容方式及请求上级(有关部门)援助的事项;督促对事件有关人员的责任追究;总结事故教训,提出预防措施,及时进行整改。
3、校园公共卫生类突发事件应急处置工作小组
组长由分管后勤工作的副院长担任,副组长由后勤处处长、西城高校后勤服务公司主要负责人担任。工作组办公室设在后勤处处长办公室,日常工作由后勤处承担。
成员:院办、保卫处、学生工作处、宣传部、后勤处、西城高校后勤服务公司、纪检监察处、校工会主要负责人和事发单位(部门)主要负责人。
主要职责:
(1)在当地卫生部门指导下,负责全校突发公共卫生事件的紧急处置工作,及时收集当地突发公共卫生事件的相关信息,并及时向学院通报情况,提出紧急应对突发公共卫生事件的政策、措施;
(四) 指导和组织学校紧急应对和处置突发公共卫生事件;
(五) 督促各单位(部门)认真落实突发公共卫生事件紧急应对措施;
(六) 及时总结和推广各单位(部门)应对公共卫生事件和经验和做法。
4、自然灾害类突发事件应急处置工作组
组长由分管后勤工作的副院长担任,副组长由院办主任、后勤处处长、保卫处处长担任,日常工作由后勤处承担。
成员:院办、学生工作处、宣传部、保卫处、后勤处、教务处、西城高校后勤服务公司、纪检监察处、校工会主要负责人。
主要职责:在上级应急部门指导下,配合相关行政部门开展工作;根据事件性质和等级安排任务;决定成立工作组(调查组)到现场;决定信息报送的内容方式及请求上级(有关部门)援助的事项;督促对事件处理不及时、瞒报、谎报等相关人员的责任追究。
5、校园网络与信息安全突发事件应急处置工作组
组长由学院党委副书记担任,副组长由院办主任、宣传部部长、实训中心主任担任。工作组办公室设在实训中心,日常工作由实训中心承担。
成员:院办、宣传部、教务处、学生工作处、保卫处、招生就业指导中心、实训中心主要负责人。
主要职责:通过技术手段对各级网络实施有害信息监控;及时制止重大有害信息在校园网大面积传播;处置校园网遭受大范围攻击和其他的网络设施、设备的严重事故。
6、考试安全类突发事件应急处置工作组
组长由分管教学工作的副院长担任,副组长由教务处处长担任,工作组办公室设在教务处,日常工作由教务处承担。
成员:院办、学生工作处、教务处、纪检监察处、保卫处、实训中心主要负责人。
主要职责:根据事件等级决定是否启动应急预案;上报事件情况(包括事件原因、性质、程度、波及范围的初步判断和目前的应对措施);作出决策,协调各部门行动;对各项应急工作进行部署。
三、预防和预警机制
建立畅通的信息传输渠道和严格的信息上报机制,完善快速应急信息系统。
(一) 信息报送原则
1、迅速。最先发现或接到发生突发公共事件的单位或个人,应第一时间报告学院突发公共事件应急领导小组和院办、保卫处(火灾同时报119),不得延报。学院领导小组接报后必须立即向省教育厅或省卫生主管部门和省供销社进行初次报告。
2、准确。信息内容要客观翔实,不得主观臆断,不得漏报、瞒报、谎报。
3、续报。根据报告的内容和进展,分为初次报告、进展报告和结案报告。
(二)信息报送机制
1、紧急电话报告
各突发公共事件工作小组办公室接到报告后,应立即电话报告工作组组长、副组长,同时报学院领导小组办公室。领导小组办公室按院领导要求开展工作,同时与事发单位保持联系,进一步核实情况,并尽快通知相关部门及其相关工作组办公室。
2、紧急文件报送
突发公共事件执行电话报告后,院领导小组办公室在联系接报单位、接报人了解基本情况后,以简明书面形式报院领导小组组长、副组长,并按照相关预案和领导要求迅速开展工作。办公室根据院领导意见,将重大、重要信息材料形成初次报告书面报送省供销社和省教育厅。
3、突发事件报告的主要内容
(1)事件、事故发生基本情况,包括时间、地点、规模、涉及人员、破坏程度,以及人员伤亡等情况;
(2)事件、事故发生起因分析、性质的初步判断和影响程度的初步评估;
(3)事发后学校及其有关部门已采取的措施;
(4)事态发展状态、处置过程和结果;
(5)校内外公众及媒体等各方面的初步反应;
(6)需要报送的其他事项。
(三)预防和预警行动
1、在学院领导小组的统一部署下,各单位应相互支持,相互配合,要落实人员,明确责任,细化工作措施,把各项工作和要求落到实处。
2、加强应急反应机制的日常管理,在实践中运用和完善应急处置预案。各工作组组长要加强人员培训,定期或不定期地开展演练活动,不断提高应对突发公共事件的指挥能力和处置能力。
3、做好应对学校各类突发事件的人力、物力和财力方面的储备工作,确保突发事件预防、现场控制的应急设施、设备和必要的经费开支。
四、应急预案启动标准和响应程序
特别重大事件(Ⅰ级)、重大事件(Ⅱ级)、较大事件(Ⅲ级)、一般事件(Ⅳ级)发生后,事发处置工作组应立即启动相应预案。学院领导小组立即启动本预案开展处置工作,有关情况及时上报省供销社和省教育厅相关部门。
各处置工作组要根据事件的发展趋势动态调整事件级别,适时调整应急措施和方案,加大应急处置力度,提高应急处置工作的针对性和时效性。
(一)特别重大事件(Ⅰ级)应急响应
学院立即启动相应预案,主要负责人及时到现场组织协调,全力进行应急处置。同时将情况报告省供销社、当地政府、公安部门和教育厅,通报其他有关部门。
(二)重大事件(Ⅱ级)应急响应
学院立即启动相应预案,主要负责人及时到现场组织协调,全力进行应急处置。同时将情况报告省供销社、当地政府、公安部门和教育厅,通报其他有关部门。
(三)较大事件(Ⅲ级)应急响应
学院立即启动相应预案,全力进行应急处置。相应应急处置工作组组长带队到现场协调、指导。
(四)一般事件(Ⅳ级)应急响应
相应应急处置工作组组长带队到现场协调、指导,视情况决定是否启动应急预案。
(五)预案的启动
学院突发公共事件应急领导小组组长一旦决定启动本应急预案,领导小组成员部门必须立即执行。
五、应急保障
(一)信息保障。各部门要健全突发公共事件的信息收集、报送、处理机制(注意特殊情况下的信息传递),保持通讯设施完好,确保信息传递及时畅通。
(二)物资保障。各部门应事先对处置突发公共事件物资有所安排,加强与保卫、后勤等部门的联系,确保紧急情况下物资及时到位。
(三)资金保障。财会处每年应在经费预算中安排一定应急保障资金,专款专用。
(四)人员保障。各部门要采取必要措施,组建本部门突发公共事件应急处置队伍,确保该队伍成员随时到位在岗。
(五)培训演练保障。加强应急队伍的培训工作,以应急处理工作组为单位,每年至少组织应急队伍成员进行一次演练与培训,以提高快速反应和协同作战能力。
(六)应急处理电话
报警服务电话设在保卫处,24小时值班,8137346。
六、校园安全类突发事件应急处置
(一)校园安全类突发事件等级确认与划分
按照《国家大规模群体性事件应急预案》、教育部《教育系统突发公共事件应急预案》的要求,根据学校群体性事件的类型、规模、紧迫程度和可能的发展趋势等,校园安全类突发事件划分为四个等级:
1、特别重大事件(Ⅰ级)
包括聚集事件失控并走出校门游行、集会、绝食、静坐、请愿以及实施打、砸、抢等,引发外校及社会的连锁反应,形成严重影响学院和社会稳定的大规模群体性事件;针对师生员工的各类恐怖袭击事件以及视情况需要应作为Ⅰ级事件对待的事件。
2、、重大事件(Ⅱ级)
包括聚集事件失控,校园网上出现大范围串联、煽动和蛊惑信息,院内聚集规模迅速扩大并出现多校串联的趋势;院内出现未经批准的大规模游行、集会、静坐、请愿等行为,学院正常教育教学秩序受到严重影响甚至瘫痪以及视情况需要应作为Ⅱ级事件对待的事件。
3、较大事件(Ⅲ级)
包括单个突发事件引起连锁反应,院内出现带有煽动性的非法横幅、标语和大(小)字报,有关讨论已成为校园网BBS热点问题之一;院内局部聚集一次(累计)人数不足100人,但已影响学院正常秩序的群体性事端以及视情况需要应作为Ⅲ级事件对待的事件。
4、一般事件(Ⅳ级)
包括群体性事件呈萌芽状态或事件虽处单个状态但已引起师生员工关注,可能引发聚集;师生员工中出现少数过激言论行为,校园内(校园网)出现大(小)字报以及视情况需要应作为Ⅳ级事件对待的事件。
要根据事态发展变化及时确认事件等级,以调整应对措施,提高工作的针对性和时效性。
(二)校园安全类突发事件的预防和预警
1、预防预警工作
(1)建立不稳定因素定期分析排查制度。各单位要及时掌握各种动态,做好情况分析,加强教育引导,防范敌对势力利用改革发展中的问题进行煽动。
(2)提高工作的针对性。高度重视国内外重大事件的影响,特别是容易激化学生情绪的问题,做到早发现、早预防、早处置。要做好敏感时期、重大活动、重大节日期间的安全保卫工作的部署,同时加强对工作落实情况的检查督促。
(3)加强值班和信息报送工作。各单位要建立规范的值班制度。敏感时期、重大活动、重大节日期间由领导带班,实行24小时值班并按照上级主管部门要求每日报告情况。
2、信息报送制度
重大情况报告请示。学院对发生(可能发生)的校园安全类突发事件,必须立即报告省供销社和省教育厅,处置过程中要及时续报情况。
(三)应急响应
1、应急处置原则
坚持“谁主管、谁负责|”和“早发现、早报告、早控制、早解决”的原则,努力把事态控制在校园内、把矛盾解决在萌芽状态,防止个别问题共性化,局部问题全局化,经济问题政治化,非对抗性矛盾对抗化。
2、特别重大事件(Ⅰ级)的处置
(1)学院立即启动应急预案,成立现场指挥部,同时向当地政府和上级有关部门报告,请求派遣警力进校,避免事态继续恶化。
(2)学生出校门集会游行,相应应急处置工作组要领导学生工作处、各部门、保卫处等部门及时劝阻;劝阻无效时要配合公安部门维持秩序、现场警戒,防止社会闲杂人员和别有用心的人进入游行队伍寻衅滋事,防止学生出现各种过激行为。要充分发挥党政工团组织及学生骨干的作用,切实做好思想政治工作,做到师生不停课、不离校,同时加强校园管理,严格控制人员出入。
(3)公安部门采取坚决措施时,各单位要继续做好劝导工作,确保学生安全离开现场。处理学生时要掌握时机和分寸,避免矛盾激化。
(4)针对师生的恐怖袭击事件,按《国家处置大规模恐怖袭击事件应急预案》的有关要求执行。
3、重大事件(Ⅱ级)的处置
学院立即启动应急预案。主要领导出面与学生对话,控制事态发展;各部门领导,辅导员深入学生班组和宿舍,面对面做好疏导工作;对蓄意破坏、危及公共安全的人员要报请公安部门与保卫部门联合实施监控;涉及外教时,要立即对他们采取保护措施并及时通报上级外事主管部门;严格门卫管理,防止社会闲杂人员进入和学生外出集会游行。
4、较大事件(Ⅲ级)的处置
学院突发公共事件应急领导小组接报后迅速决定是否启动应急预案。相关负责人立即到现场进行处置,了解情况。能够解决的问题,要马上妥善处理;情况不清需要调查的,则进行认真解释。使学生理解并支持学校的工作,同时尽快疏散聚集的学生,恢复正常秩序。
5、一般事件(Ⅳ级)的处置
发现有社会危害的大(小)字报及传单,应急处置工作组要迅速组织清除,防止扩散;同时监控张贴者,确定其身份后妥善处置。发现事端苗头,要立即现场取证并会同相关部门及时解决。保卫处要加强校园巡查和对不稳定因素的监控,做到及时发现、及时报告、及时处理。
(四)善后与恢复
后期处置的重点是尽快查清事件的原因,妥善解决问题,满足师生合理要求,平息情绪。
1、对于国内外重大热点问题或因国家、民族感情等问题引发的政治性群体事件,各单位要组织师生学习有关文件,通过形势报告会、座谈会、讲座等方式加强教育,保护师生员工的爱国热情和民族感情,抵制错误思潮,引导他们把思想和行动统一到党和政府的决策上来。
2、校园及周边治安案件引发的群体性事件,应急处置工作组要协调对伤亡师生进行人道主义抚恤或补偿,对受害者家属进行慰问,保卫处要配合公安等部门加强整治校园及周边环境,切实解决交通、治安等方面的隐患。
3、学院改革涉及师生切身利益引发的群体性事件,要面对问题积极主动解决:政策法律有明确规定的,必须尽快落实;要求合理但一时难以解决的,要做好解释工作。要关心困难和离退休教职工的生活,对后勤社会化改革以及可能引发的师生切身利益等问题要高度重视,妥善处理。
4、事件平息后,学院及各部门要认真反思引发事件的原因,及时总结处置中的经验教训,制定进一步改进工作的措施,巩固成果,防止反弹。相关情况及时报告省供销社、省教育厅。
七、事故灾难类突发事件应急处置
(一)事故灾难类突发事件等级确认与划分
根据教育部《教育系统突发公共事件应急预案》、《湖南省突发公共事件总体应急预案》的要求,结合我院实际,将事故灾难类突发事件按严重程度分为四级。
1、特别重大事件(Ⅰ级):一次死亡20人以上;学院财产遭受特别重大损失;学院教学秩序产生重大影响的事故灾害。
2、重大事件(Ⅱ级):一次死亡10-19人;学院财产遭受重大损失;对学院教学秩序产生重大影响的事故灾害。
3、较大事件(Ⅲ级):一次死亡3-9人;重伤11人以上;对学院财产造成损失;对学院教学秩序产生较大影响的事故灾害。
4、一般事件(Ⅳ级):一次死亡2人以下;重伤2人以上;对学院教学秩序产生一定影响的事故灾害。
(二)应急处置措施
1、火灾事故处理办法
(1)学院立即启动应急预案,院领导和有关人员迅速到现场组织疏散、灭火,同时向119指挥中心报警。消防队到后主动提供有关信息,配合他们的工作;
(2)迅速切断煤气、电源等火源,避免继发性危害;
(3)抢救伤员,配合医疗机构进行救治;
(4)采取措施封锁现场、疏散人员、转移重要财物,做好受灾人员安置工作;
(5)信息报送:2小时内报省供销社和省教育厅;
(6)积极配合公安消防部门进行事故调查,根据灾情程度,依法追究责任。
2、建筑物倒塌事故处理办法
(1)学院发生房屋、围墙等建筑倒塌事故,有关领导和工作人员要在第一时间赶往现场,根据灾情启动应急预案,迅速开展现场处置和救援工作,并向当地政府和有关部门报告;
(2)迅速切断煤气和电源,并密切关注连带建筑物的安全状况,消除继发性危险;
(3)及时组织力量,解除受困人员,抢救伤员,配合医疗机构妥善安置好伤病员;
(4)妥善解决好受害人员的安居和生活问题,积极做好事故调查和其他方面的处理工作。
3、楼舍通道拥挤踩踏事故处理办法
(1)相关部门要及时排查隐患,加强学生教育管理工作;
(2)一旦发生事故,有关人员要迅速到现场组织抢救,学院视情况启动应急预案,立即向医疗急救部门求援,同时报省供销社和省教育厅;
(3)控制局面,开展现场疏导、救护工作,对伤员进行紧急抢救处置后尽快送往医院;
(4)迅速通知伤员家属,及时向师生和群众通报有关情况,确保校园和社会稳定。
4、校园爆炸事故处理办法
(1)学院领导和有关人员迅速到现场组织抢救,启动应急预案并向省供销社、省教育厅和公安部门报告。
(2)保卫处在爆炸现场设置隔离带,疏散人员,保护现场,控制治安环境,同时采取有效措施检查并消除其他危险;配合公安部门搜寻物证。发现肇事者(嫌疑人)应采取有效措施控制,并迅速报告公安部门;
(3)院医务人员要及时对伤员进行紧急抢救处置后尽快送往医院;
(4)积极配合公安部门进行事故调查,做好善后安抚工作。
5、突发危险品污染事故处理办法
(1)学院意外因素引起危险品污染、燃气泄露等重大事故时,应立即启动应急预案,学院领导和有关人员要在第一时间赶往现场,组织相关人员查明情况,迅速控制消除或减轻危害,及时采取措施控制事态发展。
(2)污染、泄露情况严重,应立即向湖南省和长沙市人民政府报告,由地方政府启动应急预案,学院相关部门应积极协调同政府有关专业部门进行现场调查、检验,实施抢救,切断污染源,隔离污染区,防止污染泄露扩散和事故的扩大蔓延;
(3)要对现场的重要物资、设备、特别是易燃易爆腐蚀的设备、器具组织安全转移,及时通报或疏散可能受到污染危害的师生员工,安排好他们生活;
(4)及时开展对受害人员的医疗救治;
(5)危险或危害排除后,积极配合相关部门进行事故调查,做好善后工作;
6、校园恶性交通事故的处理办法
(1)发生校园恶性交通事故,涉及有本院师生员工的,学院应急处置工作组组长和相关人员迅速到现场组织抢救;
(2)立即向公安交警报警(电话:122),向医疗急救部门求助(电话:120),并向上级主管部门报告;
(3)积极配合公安交警保护好现场,有效控制肇事人,寻找证人做好证词;
(4)及时通知伤亡亲属;
(5)积极协助公安交警部门及时查看现场情况,参与协助调处,涉及外籍师生的要及时按规定报告上级外事部门;
7、大型群体活动公共安全事故处理办法
(1)学院举办的各类大型活动,组织部门负全责,必须按照规定做好专项安全保卫方案,落实安全保卫措施;
(2)活动中一旦发生重大事故,应立即启动应急预案,学院领导和有关部门必须在第一时间赶到现场,靠前指挥,组织疏导,抢救伤员;
(3)活动组织者和安全工作负责人要稳定现场秩序,组织师生有序疏散,尽力避免继发性灾害;
(4)事故中遇有伤亡者,及时组织医院进行伤员抢救工作,并通知伤亡者亲属,妥善安排好善后处理工作;
(5)积极配合公安和有关部门开展调查工作,总结经验教训,避免类似事故重演。
8、外出实习、参观等活动安全事故处理办法
(1)认真组织。外出实习、参观、考察等活动单位负责人和组织活动的部门要健全活动组织体系和应急预案,配备必要工具设施;
(2)加强联络。离开校园要完善通讯体系,做好定期通讯联络工作,定期清点人员,及时沟通信息;
(3)妥善处置。发生事故时,立即向学院领导和当地有关部门报告,争取帮助,同时积极组织自救、互救工作;学院分管领导要积极指导现场人员的工作,必要时派工作组前往,同时争取事发地政府和有关部门的支持帮助。
9、突发后勤保障安全事故处理办法
(1)学院后勤部门要做好重点场所及重点部门的事故防范工作,落实管理制度和操作规程,确保各种设施安全运行;
(2)发生重大事件,有关人员要立即到现场组织抢救抢修,控制事态发展,学院视情况启动应急预案,必要时请当地有关职能部门支持;
(3)饮食(水)供应必须有相应保护措施,发生污染要立即停用,保护现场并请卫生防疫部门检验处置。
10、校园周边突发安全事故处理办法
(1)保卫处应根据事故的严重性,在第一时间向领导小组办公室或领导小组组长报告,同时做好校园内的防范工作;
(2)积极协助当地有关部门处置,防止事态扩大;
(3)及时向师生员工通报情况,稳定校园秩序。
11、灾难性事故处置中的其他注意事项
(1)有人员伤亡的,首先要采取措施抢救伤员;
(2)采取各种措施时,要充分考虑继发性伤害问题;
(3)及时向师生员工通报情况,稳定校园秩序。
(三)善后与恢复
应急处置和救护活动结束,工作重点应转向善后恢复,尽快恢复学校正常教学生活秩序。
1、做好伤亡人员的治疗、抚恤(赔偿)工作,对受害者家属进行慰问,协助向保险公司联系赔付;
2、尽快查明事故原因,确保信息准确、及时公布,以疏导师生员工情绪,稳定校园秩序;
3、总结教训,举一反三,全面检查学院设施设备和管理环节,及时整改隐患,避免类似事故再次发生;
4、及时追究事故中失职、渎职人员的责任;
5、保卫处要积极配合公安部门做好涉及刑事犯罪的侦破工作。
八、公共卫生类突发事件应急处置
(一)公共卫生类突发事件等级确认与划分
根据《国家突发公共卫生事件应急预案》、教育部《教育系统突发公共事件应急预案》的要求,结合学校实际,将突发公共卫生事件划分为四级。
1、特别重大突发公共卫生事件(Ⅰ级)
(1)学校发生肺鼠疫、肺炭疽、传染性非典型肺炎、人感染高致性禽流感、群体性不明原因疾病、新传染病以及我国已经消灭的传染病等达到国务院卫生行政部门确定的特别重大突发公共卫生事件标准;
(2)发生在学院,国务院卫生行政部门认定的其他特别重大突发公共卫生事件。
2、重大突发公共卫生事件(Ⅱ级)
(1)学院发生集体性食物中毒,一次中毒超过100人并出现死亡病例,或出现10例及以上死亡病例;
(2)学院发生肺鼠疫、肺炭疽、腺鼠疫、霍乱等传染病病例,发病人数以及疫情波及范围达到省以上卫生行政部门认定的重大突发公共卫生事件标准;
(3)学院发生传染性非典型肺炎、人感染高致病性禽流感疑似病例;
(4)乙、丙类传染病短期内爆发流行,发病人数及疫情波及范围达到省以上卫生行政部门认定的重大突发公共卫生事件标准;
(5)因预防接种或预防性服药造成人员死亡;
(6)发生在学院,经省以上卫生行政部门认定的其他重大突发公共卫生事件。
3、较大突发公共卫生事件(Ⅲ级)
(1)学院集体食物中毒,一次中毒人数超过100人,或出现死亡病例;
(2)学院发生肺鼠疫、肺炭疽、腺鼠疫、霍乱等传染病病例,发病人数以及疫情波及范围达到市(州)以上卫生行政部门认定的重大突发公共卫生事件标准;
(3)发生在学院的因预防接种或预防性服药造成的群体性心因性反应或不良反应;
(4)发生在学院,经市以上卫生行政部门认定的其他较大突发公共卫生事件。
4、一般突发公共卫生事件(Ⅳ级)
(1)学院一次集体食物中毒30-100人,无死亡病例;
(2)学院发生腺鼠疫、霍乱病例,发病人数及疫情波及范围达到区以上卫生行政部门认定的重大突发公共卫生事件标准;
(3)发生在学院的,经区以上卫生行政部门认定的其他一般突发公共卫生事件。
5、鉴于学院公共卫生事件涉及师生员工健康安全,社会关注度较高,未达到Ⅳ级突发公共卫生事件标准的一般公共卫生事件,均按Ⅳ级突发公共卫生事件进行处置。
6、学院所在地发生可能对师生员工健康造成危害的突发公共卫生事件,应在当地政府和卫生行政部门领导下,根据事态发展做好院内的相应工作。
(二)信息报告
1、突发公共卫生事件的责任报告人
责任报告人:后勤处主要负责人。
2、突发公共卫生事件报告时限及程序

(1)初次报告
学院发生突发公共卫生事件后,经请示学院领导小组组长批准后,在2小时内向省供销社、省教育厅和属地卫生行政部门进行初次报告。
(2)进程报告
Ⅰ级和Ⅱ级突发公共卫生事件处置中,学院每天应将情况报告省供销社、省教育厅。
Ⅲ级和Ⅳ级突发公共卫生事件处置中,学院应及时将情况报告省供销社、省教育厅。
(3)结案报告
事件结束后,应将处理结果报告省供销社、省教育厅。
3、报告内容
(1)初次报告内容
必报内容:事件发生时间、地点、造成伤害人数;
选报内容:事件性质初步判断、可能的发生原因等。
(2)进程报告内容:事态控制(有害物丢失的查找)情况、患病(中毒)人员病情变化与治疗情况、事故原因、已经或准备采取的措施。
(3)结案报告内容:事件处理、整改和责任追究情况等。
(三)应急反应
1、学院发生突发公共卫生事件时,各部门在突发公共事件应急领导小组统一指挥下,按分级负责原则作出相应反应。学院根据需要适时启动应急预案。
2、学院突发公共卫生事件应急处理采取边调查、边处理、边抢救、边核实的方式,以有效控制事态发展。
3、Ⅰ级突发公共卫生事件应急反应
按照Ⅱ级突发公共卫生事件应急反应要求组织实施相应措施,每天按要求向上级主管部门报告事件处理情况。根据卫生部门对事件的判断,在教育厅和当地政府领导下启动应急预案,实行集中办公,24小时值班。根据事态变化及时调整应对措施;协助有关部门进行调查并根据调查结果通报有关情况,督促对失职、渎职人员进行责任追究。
4、Ⅱ级突发公共卫生事件应急反应
按照Ⅲ级突发公共卫生事件应急反应要求组织实施相应措施,每天按要求向上级主管部门报告事件处理情况。根据卫生行政部门意见,在教育厅和当地政府领导下适时启动应急预案;协助有关部门进行调查并根据调查结果通报有关情况,督促对失职、渎职人员进行责任追究。
5、Ⅲ级突发公共卫生事件应急反应
按照Ⅳ级突发公共卫生事件应急反应要求组织实施相应措施,做好伤病(死亡)人员家属接待和安抚工作,按教育厅和当地政府和部门统一部署,落实其他措施;根据调查结果对有关责任人员进行查处。
6、Ⅳ级突发公共卫生事件应急反应
(1)在场人员立即将情况报告学院领导小组组长,学院迅速报告当地卫生部门,组织救治工作。停止出售并追回已售可疑食品并认真封存;控制(切断)可疑水源。
(2)保卫处封锁现场,排查相关场所、人员,配合公安部门开展侦破工作。
(3)后勤处配合卫生部门对可疑食(物)品取样留验,对中毒现场(可疑污染区)进行消毒处理,对与肺鼠疫、肺炭疽、霍乱、传染性非典型肺炎病人密切接触都实施隔离。
(4)相关部门尽快与患者家长(家属)联系并在适当范围通报情况,稳定师生员工和群众的情绪。
(5)学院按卫生部门要求,认真落实其他紧急应对措施;无法解决的问题及时报告,争取支持和帮助。
突发公共卫生快速应急处置工作程序:

(四)善后与恢复
突发公共卫生事件应急处置后,应重点做好善后与恢复工作,尽快恢复学院正常教学、生活秩序。
1、如因传染病停课,须对教学生活设施彻底清扫消毒后方能复课;因传染病停学的学生,须经卫生部门检查,确定恢复健康后方可复学;因水源污染造成传染病流行的,其水源须经卫生部门检测合格后方可重新启用。
2、根据事件原因和责任划分,相关部门要认真做好受害人员善后工作。
3、根据事件原因调查结果,追究事故中失职、渎职人中的责任。
4、按有关部门建议,积极整改问题,防止类似事件再次发生。
九、自然灾害类突发事件应急处置
(一)自然灾害类突发事件等级确认与划分
根据《国家自然灾害救助应急预案》、教育部《教育系统突发公共事件应急预案》的要求,结合学院实际,将自然灾害类突发事件按严重程度,从高至低分为三级。
1、Ⅰ级事件:指学院所在区域人员和财产遭受重大损害,对学院教学、生活秩序产生重大影响的自然灾害。
2、Ⅱ级事件:指对学院的人员和财产造成较大损害,对学院教学、生活秩序产生重要影响的自然灾害。
3、Ⅲ级事件:指对个体造成损害,对学院教学、生活秩序产生一定影响的自然灾害。
(二)自然灾害类快速应急处置工作程序

(三)应急处置措施
1、预报后的应急反应
(1)各级政府发布自然灾害预警预报后,学院宣布进入预备应急期;
(2)根据当地政府部署,配合有关部门监测险情,检查学院应急预案准备情况,必要时组织师生员工疏散;
(3)加强宣传工作,教育师生员工不信谣、不传谣,维护校园稳定。
2、灾害发生后的应急反应
在当地政府统一指挥下,学院根据灾害等级启动应急预支案。首先做好本院抢险救灾工作,全力确保校园安全,减少损失,同时向教育厅、省供销社报告学院发生的灾情和工作情况,配合相关部门做好其他工作。
(四)善后与恢复
应急处置后,重点应转向善后恢复,尽快恢复学院正常教学生活秩序。
1、学院后勤处、关工委做好事故伤(亡)人员的治疗工作,同时协助向保险公司联系赔付。
2、院领导小组办公室要及时、准确向全院发布有关信息,疏导师生员工情绪,稳定校园秩序。
3、保卫处牵头全面整治安全隐患,提高防灾、抢险能力,避免类似情况再次发生。
4、总结经验教训,追究抢险救灾工作中失职、渎职人员责任。
十、网络和信息安全类突发事件应急处置
(一)网络和信息安全类突发事件等级确认与划分
根据《国家通讯保障应急预案》、教育部《教育系统突发公共事件应急预案》的要求,结合学院实际,将网络和信息类突发公共事件按严重程度分为四级。
1、特别重大事件(Ⅰ级)
学院校园网上出现大面积的串联、煸动和蛊惑信息;主页出现反动、煽动民族分裂、破坏稳定等反动政治信息及链接;网络发现泄密、失密事件。
2、重大事件(Ⅱ级)
关系稳定事件的讨论已成为校园网BBS论坛热点问题之一,引发校内局部聚集或其他形式聚集;主页出现淫秽等有害信息及链接。
3、较大事件(Ⅲ级)
校园网网络上出现大小字报,呈现可能影响稳定的苗头性信息;主页出现不良信息及链接;主页服务器、网络主要互联出口、辖内主干网络中断甚至是全部中断超过72小时。
4、一般事件(Ⅳ级)
校园网主要网络设备和服务器受到非法侵入;主页服务器、网络主要互联出口、辖内主干网络中断甚至是全部中断小于72小时(含)。
(二)预防预警措施
1、防预警信息
校网络中心进行实时监测,周期性(即时)发布主要异常流量来源单位、可能招致攻击的网络互联设备和计算机安全漏洞、网络蠕虫病毒动态变化趋势统计等预警信息,通过监测及时发现异常状况和发展趋势,给出预警信息并及时处理。院网络中心和保卫处应加强与国内安全组织交流,收集安全预警信息。
2、防预警行动
网络和信息安全预防措施包括分析安全风险,准备应急处理措施,建立网络和住处系统的监测体系,控制有害信息的传播,预先制定信息安全重大事件的通报机制。
(1)网络和住处安全风险一般包括:关键设备(系统)故障;水、火、电等灾害造成的物理破坏;人为失误造成的安全事件;病毒蠕虫等恶意代码危害;人为恶意攻击(包括拒绝服务、系统入侵、篡改主页、窃取敏感信息、散布有害信息)等。
(2)应急准备。院网络中心要明确职责和管理范围,作出被管对象和相应风险列表文档,成立网络和信息安全应急工作组,按要求安排应急值班,并将值班安排上报,确保到岗到位,联络畅通,处理及时准确。
(3)具体措施
①物理环境:建立落实管理制度和技术防范措施,建立安全、可靠、稳定运行的机房环境,并落实防火、防盗、防雷电、防水、防静电、防尘等预防措施,对运行关键部位实施24小时保卫;禁止任何非授权人员进入;建立备份电源系统并定期检查系统是否能够正常工作;建立重大安全事件发生时的人员疏散机制;对所有人员进行防火、防盗等基本技能培训。
②网络设备和通信线路:核心设备线路备份,避免单点故障;核实路由器操作系统安全、打过补丁;采用认证方式避免非法接入和虚假信息;禁止非法访问,授予管理员不同权限,关闭非必要服务;实时监视和入侵监测,及时排除故障、处理攻击;保证足够带宽,防止突发流量造成拥塞导致网络瘫痪。
③计算机系统:重要系统采用高可靠硬件、稳定软件、备份等措施,落实数据备份机制,遵守安全操作规范;安装稳定的操作系统和最新补丁,并定期更新;关闭所有不必要服务、帐号;限制内部用户访问权限;安装有效的防病毒软件,并及时更新病毒定义码;对用户和管理员进行安全技术培训;重要数据定期备份。
④重要信息系统:重要信息服务实行登记备案;严格信息上网审查;为避免域名系统的单点故障,建立至少主辅备份,并分布在不同的子网网络,严格配置主机系统安全;对于学院或部门的主页,除了严格配置主机系统安全以外,应该建立防火墙保护主机的安全;对有重大影响的信息系统,建立24小时监控机制,及时发现并解决问题。
⑤各级网络边界控制:局域网边界建立防火墙,重大安全事件爆发时实施访问控制;在邮件服务器前配置反病毒和反垃圾邮件网关;安装入侵检测系统,监测攻击、病毒和蠕虫的发展,及时发现重大安全攻击事件;控制有害信息经过网络的传播,建立网关控制、内容过滤等控制手段。
3、信息报告
发生网络和信息安全事件时,校园网络中心应及时清除障碍、保留证据,按应急程序请示进一步处置方案。必要时,经请示校领导小组组长批准后,报省教育厅信息中心。
(三)应急响应
网络和信息安全工作遵循“谁主办、谁负责”的原则,统一管理,分级负责,快速反应,高效处置。
1、网络环境事件处置
网络环境安全包括火灾、盗窃、破坏等能或可能影响教育管理信息网络的事件。供电相关事件,由网络和信息安全应急工作组负责现场处置,根据停电时间、用电功耗、电池电能储备、供电管理部门信息、网络和信息运行情况等条件作高度,包括次要系统停电减轻负载等措施,密切跟踪参数变化并反馈调整控制,联系相关公司和人员作现场维护。
2、网络运行事件处置
由院网络中心负责,重大事件(包括:线路中断、路由故障、流量异常、域名系统故障等)立即向网络和信息安全应急工作组组长报告,由组长决定采取处置措施。
3、网络攻击事件处置
由校网络中心按部门分工和应急流程处置。对于大规模、影响较大的恶意移动代码、拒绝服务攻击、系统入侵和端口扫描处置;
(1) 通知网络和信息安全应急工作组负责人和中心主管,决定上报或通报;
(2) 按预案通知相关管理员采取措施,或直接实施控制;
(3) 处置人员记录事件处理步骤和结果,总结报告。
4、信息安全事件处置
发生信息安全事件应急紧急通知信息主管负责人,及时消除非法信息,恢复系统。无法迅速消除或恢复系统,影响较大时实施紧急关闭,并紧急上报。
(四)应急保障
1、组织保障。学院建立网络和信息安全应急工作组,并与本地公安部门、互联网管理安全部门和电信运营商、供电公司等相关单位衔接,划分责任和协调应急机制。
2、通信保障。学院建立内部、外部住处信息联络机制,确保应急联络渠道畅通。
3、环境保障。学院要建立并保证网络中心和电力、空调、机房等网络安全运行基本环境。
4、技术保障。学院建立起条例要求的网络与信息安全保障技术支撑体系。院网络中心要加紧对日常安全保障和应急处置中的关键技术进行研究,适时予以应用,确保教育管理信息网络安全管理平台和技术标准的先进、实用和可靠。
5、流程保障。学院按“属地管理、分级负责”原则,坚持应急处置流程,如果出现本层次应急处理流程中断或事件升级,要及时向更高层次通报,避免延误。
(五)善后与恢复
学院在发生网络和信息应急事件后,应对重大事件作总结报告,上报教育厅同时应根据应急处置中暴露的管理、协调和技术等问题,改进和完善预案并实施针对性演练。
十一、考试安全类突发事件应急处置
(一)事件等级的确认
根据事件危害程度,分为三个等级:
(1)Ⅰ级事件
在我院进行的国家级使用的拟考试题发生泄密;在媒体登载拟考试题或相关信息;性质为贩卖或蓄意破坏;扩散范围广。
(2)Ⅱ级事件
①情况一:在我院进行的省级使用的拟考试题发生泄密;未在媒体上登载拟考试题或相关信息;性质为自用;扩散范围有限。
②情况二:在我院进行的省级使用的拟考试题发生泄密;在媒体上登载拟考试题或相关信息;性质为贩卖或蓄意破坏;扩散范围较广。
(3)Ⅲ级事件
学院组织的各类重大考试(自主出题)使用的拟考试题发生泄密;性质为自用;扩散范围有限。
(二)失泄密事件应急处置工作程序

(三)失泄密事件应急处置措施
接到失泄密事件报告后,立即启动本预案,召开考试安全类突发事件应急处置工作组成员会议,研究部署突发事件处置措施,落实部门责任,并第一时间向省级组织考试的行政主管部门上报情况。分级处置措施如下:
1、Ⅰ级事件
在执行Ⅲ级事件各项措施的基础上:
(1)学院院长到事件发生地指导、督促处置工作。
(2)教务处等单位做好对考生的解释、安抚、善后等工作,同时做好启用副题进行考试的各项准备工作。
2、Ⅱ级事件
(1)情况一:在网络或其他媒体上未发现泄露拟考试题,初步判断窃密性质为自用,扩散范围有限,采取的处置措施同Ⅲ级事件。
(2)情况二:在网络或其他媒体上已发现拟考试题泄露,初步判断窃密性质为贩卖或蓄意破坏,扩散范围较广,采取的处置措施同Ⅰ级事件。
3、Ⅲ级事件
(1)学院立即按本预案开展相应工作。在考试安全类突发事件应急处置工作组长领导下,由工作组成员和部门负责人共同负责处理;提供启用副题等解决方案。
(2)院网络中心根据考试安全类突发事件应急处置工作组的要求,立即对校园网进行监控;发现泄密有关的信息,立即采取措施控制嫌疑人员,并将网站信息报学校考试安全类突发事件应急处置工作组。
(3)院办、宣传部根据学校的要求,立即采取有效手段,在破案前防止新闻媒体对有关情况报告和炒作。
(4)保卫处协助公安机关,立即着手开展调查、处理、侦破工作,有关情况续报学校考试安全类突发事件应急处置工作组。
(5)考前未破案,但确定试题未大规模扩散,学院突发公共事件应急处置领导小组报请教育厅批准,考试可如期举行。
(四)考试实施过程中发生自然灾害,考试被迫中止,按“自然灾害类突发事件应急处置”的程序办理,尽量减少人员伤亡。同时采取有效措施防范失(泄)密事件发生,妥善处理停考考生补考问题。
(五)考试期间发生交通类、公共卫生类突发事件,被迫中止考试,按“事故灾难类、公共卫生类突发事件应急处置”程序办理,尽量减少人员伤亡。同时采取有效措施防范失(泄)密事件发生,妥善处理停考考生补考问题。
(六)考试中发生大规模的集体违纪舞弊事件,按失泄密Ⅲ级事件处置。
十二、附则
(一)对在各类突发公共事件应急处置中表现突出的部门和个人,应予以表彰奖励;对处置不力的部门和个人依据有关法规给予处分;构成犯罪的,依法追究刑事责任。
(二)本预案自印发之日起施行。
(三)本预案由院保卫处负责解释。



